三人决斗问题(枪手博弈)
题目是这样的:
A、B、C 三人进行决斗。A 的射击命中率是三分之一,也就是说如果他努力的话,他平均每三枪可以击中一次;B 的射击命中率是二分之一;C 的射击命中率是一(也就是百分之百)。由于 A 的命中率最低,为公平起见,他们让 A 先射,然后是 B(如果他还活着的话),然后是 C(如果他还活着的话)。再然后是 A,B,C,如此循环下去,直到只有一人活着。每次射击时只能开一枪,但可以选择朝哪里开,也可以选择放空枪。我们的问题是:如果ABC三人都按照最佳选择行事,也就是说尽可能的提高自己地存活率,谁活下来的可能性最大?准确一点,每个人活下来的概率是多少?
根据题意,在第一轮射击过程中,我们可以有三个比较明显的推断:
- 由于 C 的命中率为 100%,A、B 第一轮如果互相攻击则无异于找死;
- C 在 A 与 B 中,会优先射 B,因为 B 的命中率 1/2 大于 A 的命中率 1/3,不可养虎为患;
- B 会射 C,B 先于 C 开枪,若其推断出 C 会优先射击自己,则一定会先射 C,因为投降则必死,不如一博。
接下来,我们可以先把问题简化一下,先考虑只有两个人的情形。注意到 C 的命中率有 100%,因此无论只有 A 与 C 还是只有 B 与 C,情况都比较简单,如果轮到 C 开枪则 C 获胜。
比如,如果现在只有 A 与 C 决斗,则如果 A 先开枪,A 的存活率为 1/3 (他一枪命中的情况),如果 C 先开枪,则 A 必死。
现在考虑如果只有 A 和 B 决斗,情况会怎么样,显然,在只有两个人的情况下,如果双方都想尽可能地提高自己的存活率,则不会有人放空枪。假设此时轮到 A 开枪,则:
- A 开枪,有 1/3 的机会击中 B 获胜,2/3 的机会未击中,进入下一轮;
- B 开枪,有 1/2 的机会击中 A 获胜,1/2 的机会未击中,进入下一轮;
- 重复以上步骤,直到有一人获胜。
如下图所示:

当只有 A、B 决斗时,如 A 先开枪,则 A、B 的存活概率 P(A1)、P(B1) 分别为:
对应地有 。
如 B 先开枪,则 A、B 的存活概率 P(A2)、P(B2) 分别为:
(相当于 B 先开一次枪后再进行上面 A 先开枪的步骤。)
对应地有 。
显然,在 B 与 C 之间,A 更不希望与 C 决斗。上面的 P(A1)、P(B2) 下面还会用到。
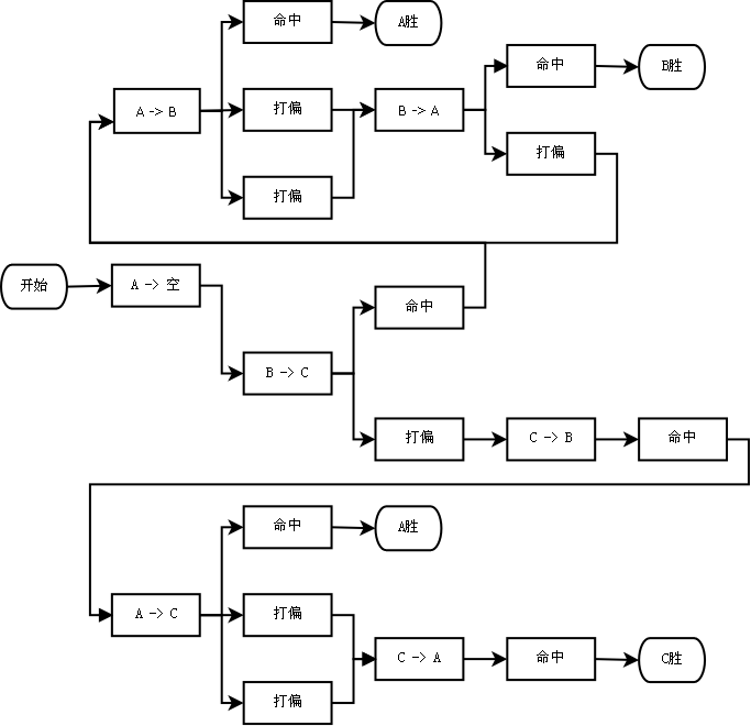
如果 A 第一枪射 B ,则他有 1/3 的概率直接射中 B,然后被 C 打死,2/3 的概率进入下一轮决斗,即 A 有 1/3 的概率在第一轮就挂掉。下一轮中他有 1/2 的概率与 B 决斗,1/2 的概率与 C 决斗,情况看起来不是很妙。
如果 A 与 B 同仇敌忾,第一枪先一起射 C 呢?他将有 1/3 的概率射中 C,然后被 B 以 1/2 的概率射中,即如果他先射 C,则有 1/3 * 1/2 = 1/6 的概率在第一轮就挂掉。
那如果 A 第一轮放空枪呢?这时,B 显然会射 C,如果射中(1/2 概率),则进入 A、B 决斗的情况,并且是 A 先开枪,A 有 1/2 的概率存活;如 B 未射中 C(1/2 概率),则轮到 C 开枪时 C 显然会把 B 干掉,进入 A、C 决斗的情况,A 先开枪,此时 A 有 1/3 的存活概率。
显然,A 第一轮放空枪是一种更好的策略。此时,A、B、C 三人决斗可能的流程如下图所示:

其中 A、B、C 三人存活的概率分别为:
其中 P(A1)、P(B2) 即是上面只有 A、B 两人决斗时计算得到的中间变量。
可以看到,P(A) > P(C) > P(B),A 的存活概率最大(接近于 1/2),C 的存活概率次之,B 的存活概率最小。
最后的结论可能多少还是有一点让人惊讶的,枪法最差的 A 居然最有可能活下来,而不是枪法最好的 C。当然,A 要能存活也需要满足很多条件,比如 A、B、C 三人必须按一定的顺序开枪,并且每一个人的目标都是尽可能地活下来,而且实力对比不能相差太悬殊,——如果 A 的命中率只有 1/30 ,B、C 的命中率不变,那无论 A 采用什么样的策略都无法改变存活率最低的情况。
类似这样的博弈,现实中并不少见,所以,有时当你面对多个强大的对手时,也不要马上放弃,认真分析一下,或许有一种聪明的策略能让你笑到最后。同样地,如果你觉得自己在某次竞争中实力最强时,也不要掉以轻心,因为虽然你的实力最强,但你获胜的概率或许并不是最大的。
评论: